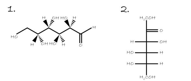
Keilstrich zu Fischer-Projektion
Wie stellt man die Fischer Projektion auf?
Bei den Monosacchariden wird es wichtig, die räumliche Orientierung der Substituenten zu berücksichtigen. Wenn zum Beispiel ein Kohlenstoff-Atom vier unterschiedliche Substituenten aufweist, dann kann eine besondere Form der Stereoisomerie vorliege: Moleküle können sich wie Bild und Spiegelbild verhalten und werden dann als Enantiomere bezeichnet.
Um dies besser am Molekül erkennen zu können, wird die Fischer-Projektion für ihre Darstellung verwendet. Damit die Umformung der Keilstrichformel in die Fischer-Projektion klappt, muss man ein paar Punkte berücksichtigen. Das Vorgehen ist im Video beschrieben.
Geschichtlicher Hintergrund
Die Entwicklung der Fischer‑Projektion ist eng mit der Geschichte der organischen Chemie und insbesondere der Stereochemie verbunden. Ende des 19. Jahrhunderts standen Chemiker vor der Herausforderung, die räumliche Anordnung von Atomen in Molekülen verständlich darzustellen. Zwar war bereits durch Jacobus Henricus van ’t Hoff und Joseph Achille Le Bel bekannt, dass bestimmte Moleküle eine dreidimensionale Struktur besitzen und dadurch optische Aktivität zeigen, doch fehlte eine einheitliche, leicht handhabbare Darstellungsform. Genau an diesem Punkt setzte Emil Fischer an, einer der bedeutendsten Chemiker seiner Zeit.
Emil Fischer beschäftigte sich intensiv mit der Struktur von Zuckern und Aminosäuren – Stoffklassen, die eine Vielzahl stereochemischer Varianten besitzen. Besonders die Monosaccharide stellten eine enorme Herausforderung dar, da sie mehrere asymmetrische Kohlenstoffatome enthalten und dadurch zahlreiche Konfigurationsmöglichkeiten aufweisen.
Um diese Vielfalt systematisch zu ordnen und vergleichbar zu machen, entwickelte Fischer im Jahr 1891 eine zweidimensionale Darstellungsweise, die später als Fischer‑Projektion bekannt wurde. Sie ermöglichte es, komplexe dreidimensionale Strukturen auf eine einfache Ebene zu übertragen, ohne die wesentlichen stereochemischen Informationen zu verlieren.
Die Einführung dieser Projektion war ein Meilenstein für die organische Chemie. Zum ersten Mal konnten Chemiker die Konfiguration verschiedener Zucker eindeutig beschreiben und miteinander vergleichen. Fischer nutzte seine Methode, um die Beziehungen zwischen den vielen Isomeren der Aldosen und Ketosen zu klären. Seine Darstellungen führten zu einer systematischen Nomenklatur und ermöglichten es, Reaktionswege und Umwandlungen zwischen verschiedenen Zuckern präzise nachzuvollziehen. Diese Klarheit war entscheidend für die spätere Aufklärung biochemischer Prozesse, etwa des Kohlenhydratstoffwechsels.
Die Fischer‑Projektion wurde schnell zum Standardwerkzeug der Stereochemie. Sie war nicht nur für Zucker, sondern auch für Aminosäuren und andere chirale Moleküle von großer Bedeutung. Besonders die Einführung der D‑/L‑Notation, die auf Fischers Arbeiten basiert, prägte die chemische Sprache nachhaltig. Obwohl heute moderne Darstellungen wie die Keilstrichformel oder dreidimensionale Computermodelle weit verbreitet sind, bleibt die Fischer‑Projektion ein unverzichtbares didaktisches Werkzeug. Sie bietet eine klare, intuitive Möglichkeit, Konfigurationen zu vergleichen und Reaktionsmechanismen zu verstehen.
Emil Fischer erhielt 1902 den Nobelpreis für Chemie – nicht ausschließlich für die Fischer‑Projektion, aber seine Arbeiten zur Strukturaufklärung von Zuckern und Purinen wären ohne diese Darstellungsform kaum denkbar gewesen. Bis heute bildet sie einen zentralen Bestandteil des Chemieunterrichts und der biochemischen Forschung. Ihre historische Bedeutung liegt nicht nur in ihrer praktischen Anwendung, sondern auch darin, dass sie den Weg zu einem tieferen Verständnis der Molekülarchitektur ebnete.
FAQs
Sie dient dazu, die räumliche Anordnung bestimmter Moleküle in einer vereinfachten zweidimensionalen Form darzustellen. Dadurch lassen sich Unterschiede zwischen ähnlichen Strukturen leichter erkennen.
Sie entstand, weil es früher keine Möglichkeit gab, räumliche Modelle einfach wiederzugeben. Die Methode sollte Ordnung in die Vielzahl ähnlicher Moleküle bringen und Vergleiche ermöglichen.
Die senkrechte Linie wird so verstanden, dass sie nach hinten zeigt, während die waagrechte Linie nach vorne weist. Dadurch lässt sich die räumliche Orientierung ableiten, obwohl die Zeichnung flach ist.
Nach den Grundlagen seid ihr jetzt für die kommenden Übungen gut gerüstet!
Übungen Chiralität Stereozentrum:
Lösungsvideos:
Übungen:
Forme die erste Formel in die Fischer-Projektion und die zweite Formel in die Keilstrichformel um.


