Was du können solltest – 9. Klasse Überblick:
- Die Benennung der homologen Reihe der Alkane.
- Die E/Z-Isomerie bei Alkenen.
- Verzweigte Alkane, Alkene und Alkine und organische Verbindungen, welche zu den Alkoholen gezählt werden, sicher benennen können.
Solltet ihr noch Nachholbedarf haben, wiederholt die Kapitel. Es lohnt sich!
Inhaltsverzeichnis
Aldehyde, Ketone und Carbonsäuren einfach erklärt
Aldehyde, Ketone und Carbonsäuren gehören zu den wichtigsten Stoffklassen der organischen Chemie. Sie besitzen alle die funktionelle Gruppe der Carbonyl-Gruppe, also ein Kohlenstoffatom, das über eine Doppelbindung an ein Sauerstoffatom gebunden ist. Trotz dieser Gemeinsamkeit unterscheiden sie sich deutlich in Aufbau, Eigenschaften und Reaktionsverhalten. Für Schülerinnen und Schüler der 9. Klasse ist das Verständnis dieser Stoffklassen ein zentraler Schritt, um die organische Chemie zu durchdringen und später komplexere Reaktionen nachvollziehen zu können.
Was sind Aldehyde?
Aldehyde enthalten eine Carbonyl-Gruppe, die am Ende einer Kohlenstoffkette sitzt. Dadurch ist das Carbonyl‑Kohlenstoffatom immer mit mindestens einem Wasserstoffatom verbunden. Die allgemeine Struktur lautet:
R–CHO
Typische Beispiele sind:
- Methanal (Formaldehyd) – der einfachste Aldehyd
- Ethanal (Acetaldehyd) – entsteht z. B. beim Alkoholabbau im Körper
Aldehyde sind meist stechend riechende, reaktive Verbindungen. Da die Carbonylgruppe am Kettenende sitzt, können Aldehyde leicht oxidiert werden – ein wichtiger Unterschied zu Ketonen.
Was sind Ketone?
Ketone besitzen ebenfalls eine Carbonyl-Gruppe, allerdings innerhalb der Kohlenstoffkette. Das bedeutet, dass das Carbonyl‑Kohlenstoffatom mit zwei Alkylresten verbunden ist:
R–CO–R‘
Beispiele:
- Propanon (Aceton) – ein bekanntes Lösungsmittel
- Butanon
Ketone sind im Vergleich zu Aldehyden weniger reaktiv, da sie nicht so leicht oxidiert werden können. Sie spielen eine große Rolle in der Industrie, in Lösungsmitteln und in biochemischen Stoffwechselwegen
Was sind Carbonsäuren?
Carbonsäuren enthalten die funktionelle Gruppe:
R–COOH
Sie bestehen also aus einer Carbonyl-Gruppe und einer Hydroxy-Gruppe am selben Kohlenstoffatom. Typische Vertreter sind:
- Methansäure (Ameisensäure)
- Ethansäure (Essigsäure)
- Butansäure (Buttersäure)
Carbonsäuren kommen in Lebensmitteln, im Stoffwechsel und in vielen Naturstoffen vor. Ihr charakteristischer Geruch ist oft stechend oder ranzig.
Gemeinsamkeiten und Unterschiede
Obwohl alle drei Stoffklassen Carbonylverbindungen sind, unterscheiden sie sich in Struktur und Eigenschaften:
| Stoffklasse | Position der Carbonylgruppe | Funktionelle Gruppe | Beispiele |
|---|---|---|---|
| Aldehyde | Am Kettenende | R-CHO | Propanal |
| Ketone | Innerhalb der Kette | R-CO-R‘ | Propanon |
| Carbonsäuren | Carbonyl + OH | R-COOH | Propansäure |
IUPAC-Benennung Schritt für Schritt
Mit den zusätzlichen drei funktionellen Gruppen bist du am Ende der Grundlagen zur Benennung von organischen Verbindungen angekommen. Neben drei weiteren Endungen und einer angepassten Priorität der funktionellen Gruppen kommt auch eine separate Benennung bei bestimmten gleichzeitig auftretenden funktionellen Gruppen hinzu. Sobald du alle diese Punkte berücksichtigst, solltest du alle einfacheren organischen Kohlenstoff-Wasserstoff-Verbindungen ohne große Probleme benennen können.
Wichtig:
- Funktionelle Gruppe mit der höchsten Priorität finden.
- Davon ausgehend, längste Hauptkette bestimmen.
- Seitenketten in alphabetischer Reihenfolge benennen.
Nach den Grundlagen seid ihr jetzt für die kommenden Übungen gut gerüstet!
Chemie Übungen:
Lösungsvideos:
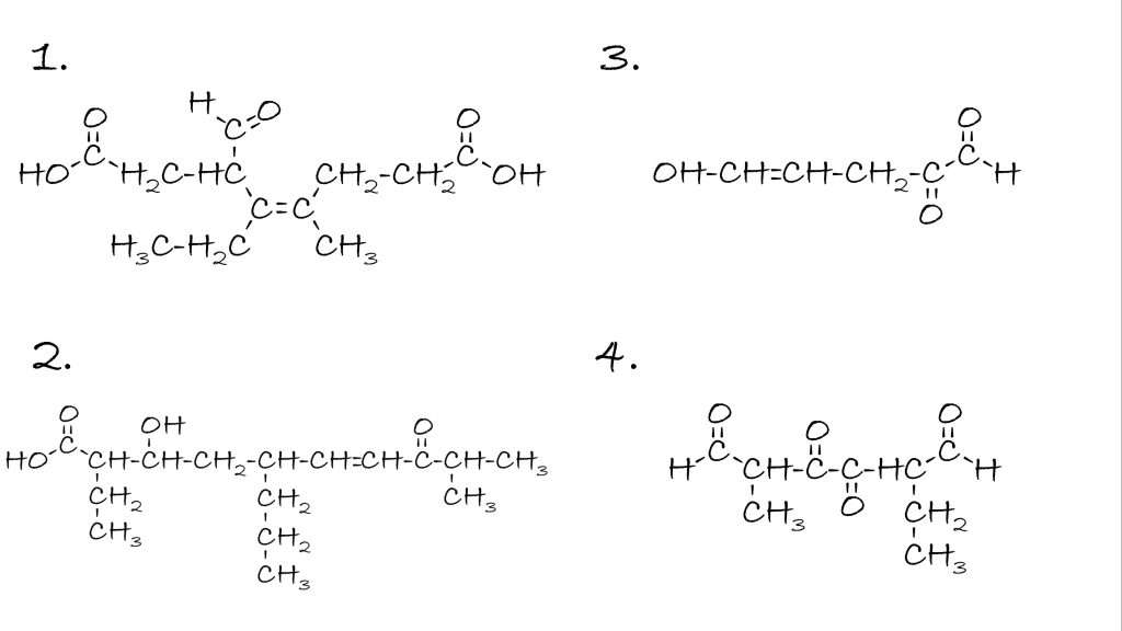
Übung 20.08.2024:
Benenne die Strukturformeln nach IUPAC.
Übung 14.06.2020:
Zusätzliche Informationen für Tests
- Der Einfachheit halber wurden die freien Elektronenpaare in den Halbstrukturformeln weggelassen.
- Aufgaben wie diese können sowohl in Form von Valenzstrichformeln, Halbstrukturformeln oder Skelettformeln abgeprüft werden können.
- Achte darauf, dass Moleküle nicht immer so gezeichnet sind, dass die längste Kohlenstoff-Kette mit dem ersten Kohlenstoff-Atom links beginnt.
- Knicke in der Formel müssen nicht unbedingt bedeuten, dass hier die längste Kette endet.
- Säure- und Aldehyd-Gruppen können nur an den Enden der Moleküle auftreten.
- Übe auch das Zeichnen von bereits benannten Molekülen.


